近日,林學院張曉麗教授團隊在中國科學院一區Top期刊《Pest Management Science》發表了題為“Chlorophyll fluorescence response mechanism to pine wilt disease infection and the potential of combining green light and SWIR bands for early diagnosis”的研究論文。該研究探討了松材線蟲病不同感病階段的葉綠素熒光響應機制,提出了將敏感波段與葉綠素熒光結合進行早期識別的新策略。
松材線蟲病是由松材線蟲引發的一種對森林極具破壞性的疾病。由于媒介昆蟲的遷飛,感病松樹在被發現和處置前極大可能已經感染了周邊松樹,因此早期識別是前哨預警的關鍵。然而,松材線蟲病早期葉片無顯著病變特征,僅依賴光譜特征難以識別。
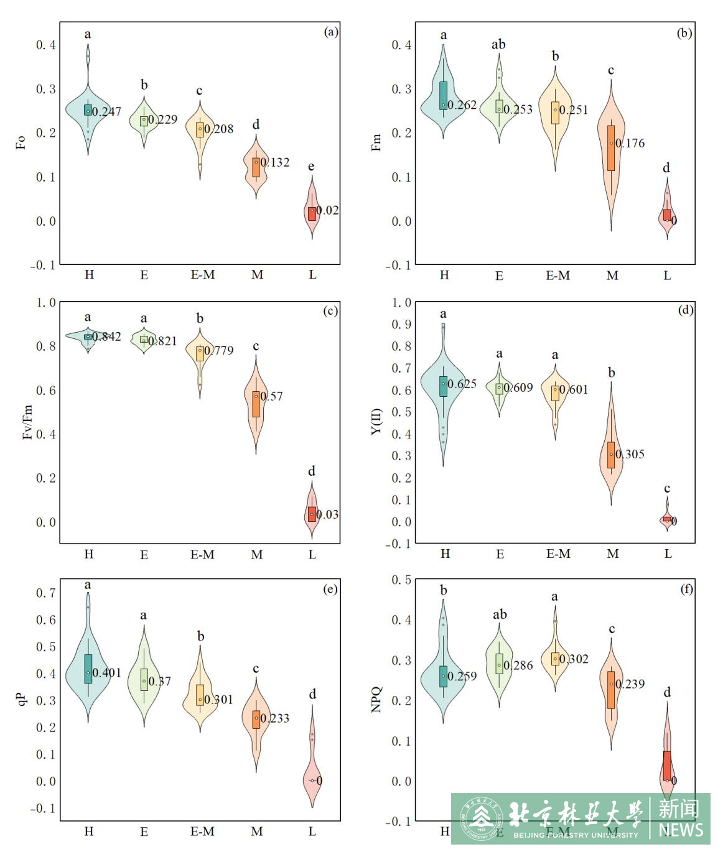
針對以上挑戰,該研究基于葉片高光譜數據和生理生化參數,分析了松材線蟲病在不同感染階段的生理生化變化規律和光譜響應特征,探討了葉綠素熒光參數對于早期病害診斷的敏感性(圖1);明確了用于早期識別的關鍵葉綠素熒光參數和診斷光譜波段;提出了一種將敏感波段與葉綠素熒光結合的創新策略,有效突破傳統單一模態數據在病害早期監測中的技術瓶頸,為基于機載、星載遙感平臺的松材線蟲病早期監測提供新思路。

圖1不同感病階段葉片葉綠素熒光參數的變化
北京林業大學林學院碩士研究生黃文媛為第一作者,張曉麗教授為通訊作者。該研究得到了國家自然科學基金“協同生物學特性和多模態衛星遙感數據的松材線蟲病智能監測及風險預警”(32471859)的資助。