近日,園林學院研究團隊在城市群生態系統服務領域取得重要進展,博士研究生生艾昕以“Climate and land use changes impact the trajectories of ecosystem service bundles in an urban agglomeration: Intricate interaction trends and driver identification under SSP-RCP scenarios”為題,于國際環境科學與生態學類頂級期刊《Science of The Total Environment》(一區TOP, IF=9.8)在線發表文章。
全球氣候變化和城市化不斷威脅著生態系統服務的供給,特別是在城市群地區,生態系統服務在社會和自然系統的耦合影響下表現出復雜的相互作用。為了應對這一挑戰,評估生態系統服務簇的時空動態變化對于理解城市群多個生態系統服務之間的空間分配和相互作用至關重要。然而,目前對未來情景影響下的生態系統服務簇的動態預測研究仍然有限,且對其驅動機制關注不足,這阻礙了生態系統管理面向未來風險的前瞻性策略制定。
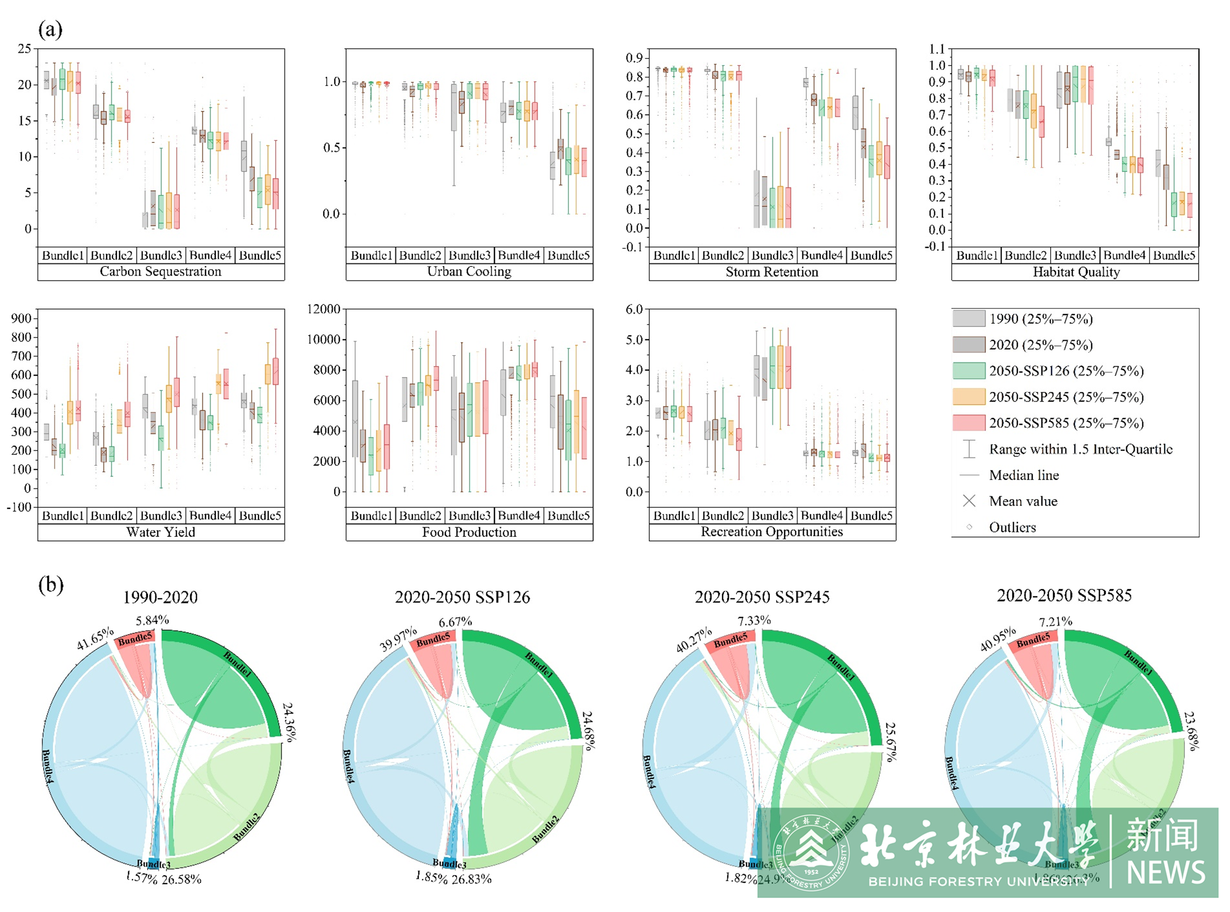
研究團隊以京津冀城市群為研究對象,提出了一個集成斑塊生成土地利用模擬(PLUS)、生態系統服務和權衡評估模型(InVEST)及聚類分析的方法框架,基于三種共享社會經濟路徑(SSP-RCP)情景,評估了1990年至2050年間7種生態系統服務及其生態系統服務簇的時空動態,并且揭示了生態系統服務簇的空間軌跡,識別出受未來氣候和土地利用變化影響的潛在空間區域,探討了生態系統服務之間的協同和權衡趨勢及其驅動因素。

不同情景下生態系統服務簇轉化弦圖及其生態系統服務值箱線圖

不同情景下生態系統服務及生態系統服務簇的驅動因素
研究發現,從時空動態軌跡來看, SSP126情景的發展路徑將有利于減少京津冀地區生態系統服務簇的波動變化;生態系統服務簇波動區域將集中分布在北京、天津、雄安的郊區,以及山區鄉鎮的周邊,生態系統服務簇非穩定區域主要分布在林草交錯的淺山區域等;此外,林地和草地的增加對碳儲存和生境質量有顯著的積極影響,而氣候因素(年降水和平均溫度)是供給服務,尤其是產水量服務的主要驅動因素。
該研究明確了京津冀城市群未來氣候和土地利用變化對生態系統服務時空動態的綜合影響,有助于為高質量開展生態系統管理和謀劃城市發展方向提供實質性空間參考和戰略指導,以促進未來生態系統服務的穩定供應和城市群的可持續發展。
該論文第一作者為我校園林學院博士生艾昕,通訊作者為鄭曦教授。本研究受到國家自然科學基金面上項目(32371643)的資助。